
Arretrati stipendio scuola visibili su NoiPa Online: Ecco Tutti gli Importi e la data di Pagamento con Emissione speciale
Buone notizie per il personale della scuola. Su NoiPa sono ora visibili gli importi degli arretrati legati al rinnovo del contratto scuola 2022-2024. Docenti…
Read MoreLatest Articles

Pagamento Assegno di Inclusione Aprile 2026: Ecco il calendario INPS con 3 date
Aprile 14, 2026
View Article
Confermata “Carta Dedicata a Te” 2026 INPS: Ricarica da 500 Euro Quando arriva, Chi Ne Ha Diritto e Chi No
Aprile 14, 2026
View Article
Tutti i Pagamenti INPS Marzo 2026: Nuove Date, Assegno Unico, ADI, Naspi e Carta Acquisti 80 euro
Aprile 14, 2026
View Article
Carta Solidale “Dedicata a Te” 2025: Al via le Verifiche Online – Ecco il LINK per controllare se hai diritto o no
Aprile 12, 2026
View Article
Al via le ricariche della Carta Dedicata a Te 2026 da 500 euro – Ecco come verificare
Aprile 12, 2026
View Article
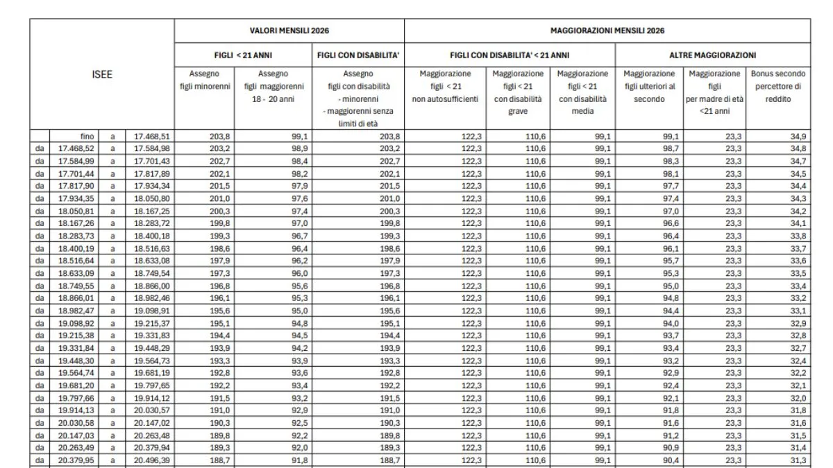
Tabella Assegno Unico 2026 PDF: Tutti Nuovi Importi e Nuove Maggiorazioni – Circolare Inps
Aprile 12, 2026
View Article





